FLAMiNGO 4 TATiL SİTESİ...... Resmi Web Sitesidir.
Hoş geldiniz!
Anasayfa
Hakkımızda
Hesap Numaralarımız
Foto Galeri
Ziyaretçi Defteri
İletişim
Videolar
2014-15 ÇALIŞMALAR
Duyurular
2025 GENEL KURUL DAVET VE GÜNDEM
2024-2025 SEZONU YILLIK AİDAT ÖDEME PLANI
2024 YILI FLAMİNGO 4 TATİL SİTESİ OLAĞAN MALİ GENEL KURUL TOPLANTI TUTANAĞI
2024 MALİ GENEL KURUL DAVET VE GÜNDEM
ÖNEMLİ DUYURU
FLAMİNGO 4 DIŞ CEPHE DAİRELER ÖDEME LİSTESİ
FLAMİNGO 4 DIŞ CEPHE ZEMİN KATLAR ÖDEME LİSTESİ
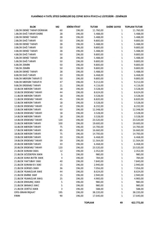
DIŞ CEPHE BOYA ÖDEME PLANI
2023-2024 SEZONU YILLIK AİDAT ÖDEME PLANI
2023-2024 YILI FLAMİNGO 4 TATİL SİTESİ OLAĞAN GENEL KURUL TOPLANTI TUTANAĞI
İLAN. DIŞ CEPHE BOYA VE TAMİRAT İHALESİ
2023 GENEL KURUL DAVETİYESİ
2022 GENEL KURUL DAVETİYESİ
2020 GENEL KURUL DAVETİYESİ
2019-2020 AİDAT ÖDEME PLANI
2019-2020 OLAĞAN MALİ GENEL KURUL DAVET VE GÜNDEM
2018-2019 SEZONU AİDAT ÖDEME PLANI
2018-2019 GENEL KURUL TOPLANTISI DAVET - 23/05/2018
GENEL KURUL TOPLANTI TUTANAĞI 2016
Takvim
Site Haritası
Site Haritası
FLAMİNGO 4 DIŞ CEPHE ZEMİN KATLAR ÖDEME LİSTESİ - 25/08/2023
Duyuru Arşivi
2017-2018 DÖNEMİ AİDAT ÖDEME PLANI
2017-2018 GENEL KURUL TOPLANTISI DAVET
ELEKTRİK ABONELİĞİ HAKKINDA
FLAMİNGO 4 TATİL SİTESİ 2016-2017 AİDAT ÖDEME PLANI
FLAMİNGO 4 TATİL SİTESİ 2016 TOPLANTI
GENEL KURUL TOPLANTI TUTANAĞI 2015
2015-2016 SEZONU AİDAT ÖDEME PLANI
2015 MALİ GENEL KURUL TOPLANTISI
FLAMİNGO 4 TATİL SİTESİ 2014-2015 AİDAT ÖDEME PLANI
2014 SEZONU OLAĞAN TOPLANTI VE GÜNDEM
VEFAT VE BAŞSAĞLIĞI
2013-2014 YILI AİDATLAR
ÖNEMLİ DUYURU
2013 SEZONU TOPLANTI VE GÜNDEM
YÖNETİM KURULU KARARI
HAVUZA GİRİŞ ÜCRETLERİ KARARI
2012-2013 YILI AİDATLAR
2012-2013 YILI GENEL KURUL TUTANAĞI
2012-2013 OLAĞAN GENEL KURUL
2011-2012 SEZONU AİİDATLAR
ELEKTRİK BORÇLARI
Ziyaret Bilgileri
Aktif Ziyaretçi
1
Bugün Toplam
24
Toplam Ziyaret
197760
Saat
Döviz Bilgileri
Alış
Satış
Dolar
44.3995
44.5775
Euro
51.2508
51.4561
Hava Durumu
Adana
Adıyaman
Afyonkarahisar
Ağrı
Amasya
Ankara
Antalya
Artvin
Aydın
Balıkesir
Bilecik
Bingöl
Bitlis
Bolu
Burdur
Bursa
Çanakkale
Çankırı
Çorum
Denizli
Diyarbakır
Edirne
Elazığ
Erzincan
Erzurum
Eskişehir
Gaziantep
Giresun
Gümüşhane
Hakkari
Hatay
Isparta
İçel
İstanbul
İzmir
Kars
Kastamonu
Kayseri
Kırklareli
Kırşehir
Kocaeli
Konya
Kütahya
Malatya
Manisa
Kahramanmaraş
Mardin
Muğla
Muş
Nevşehir
Niğde
Ordu
Rize
Sakarya
Samsun
Siirt
Sinop
Sivas
Tekirdağ
Tokat
Trabzon
Tunceli
Şanlıurfa
Uşak
Van
Yozgat
Zonguldak
Aksaray
Bayburt
Karaman
Kırıkkale
Batman
Şırnak
Bartın
Ardahan
Iğdır
Yalova
Karabük
Kilis
Osmaniye
Düzce